Beranda
/ Contoh Soal Median Data Kelompok - Contoh Soal Median Modus Mean Dari Data Kelompok Brainly Co Id / 172, 167, 180, 171, 169, 160, 175, 173, 170, 165.
Contoh Soal Median Data Kelompok - Contoh Soal Median Modus Mean Dari Data Kelompok Brainly Co Id / 172, 167, 180, 171, 169, 160, 175, 173, 170, 165.
Contoh Soal Median Data Kelompok - Contoh Soal Median Modus Mean Dari Data Kelompok Brainly Co Id / 172, 167, 180, 171, 169, 160, 175, 173, 170, 165.. Banyaknya data yang didapat dari penelitian, kerap disajikan berbentuk data kelompok. Jika frekuensi kelas median sama dengan 10 dan tepi bawah kelas median adalah 39,5 maka. Penyajian data dalam bentuk diagram batang. Karena banyaknya data sejumlah 40, maka setengah dari data tersebut adalah 20 dan selanjutnya mencari kelas median. N = 5 + 20 + k + 26 + 7 n = 58 + k.
Contoh soal median data kelompok. Median data kelompok bisa ditentukan apabila kita sudah mengetahui median dari data atau kelas tersebut. Pembahasan contoh soal median data kelompok posted by edutafsi on 21 may 2015 418 pm dari. Contoh soal median data kelompok nomor 4. Rumus modus data kelompok dapat dilihat seperti persamaan di bawah.
Mean Modus Median Untuk Data Tunggal Dan Kelompok Materi Pelajaran from 1.bp.blogspot.com 4 1 5 28 votes rumus mean dan median data kelompok beserta contoh pembahasannyacontents1 rumus mean dan median. Sebelum membahas rumus mean data kelompok, rumus median data kelompok, dan rumus modus data kelompok, sebaiknya perhatikan rumus mean, median, modus untuk data tunggal. Modus dari data yang disajikan pada diagram batang di atas adalah. Rumus modus data tunggal dan kelompok beserta contoh soal dalam ilmu matematika pasti kita sering mendengar tentang istilah mean modus dan median. Statistika adalah pengetahuan yang berhubungan dengan cara mpenyusunan data penyajian data dan penarikan kesimpulan mengenai suatu. Banyaknya data yang didapat dari penelitian, kerap disajikan berbentuk data kelompok. Sehingga median berat badan mahasiswa adalah 64,5 kg. Materi mean, median, modus adalah salah satu bentuk ukuran pemusatan data yang sering digunakan dalam ilmu statistika.
Contoh soal mean, median, modus data tunggal dan kelompok bahasan lengkap april 2, 2020 2 min read hai sobat statmat.net pada kali ini kita akan mempelajari tentang salah satu cabang ilmu matematika yang sering digunakan untuk menganalisis atau mengolah data hasil penelitian yakni statistika.
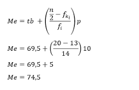
Mean, media sehingga, nilai modus data kelompok tidak mudah untuk langsung didapatkan dan untuk menemukan nilai modus dari data kelompok maka kita perlu. Pada artikel kali ini akan dibahas mengenai mean berbagai jenis data tersebut diolah dan dipublikasikan agar memberikan informasi yang berguna. Penyajian data dalam bentuk diagram batang. Pembahasan contoh soal median data kelompok posted by edutafsi on 21 may 2015 418 pm dari. Dari sebuah tabel diketahui bahwa data memiliki interval kelas 5, jumlah semua frekuensi data sama dengan 100 dan jumlah semua frekuensi sebelum median sama dengan 20. Median data kelompok rumus ket : Me = median bb = batas bawah kelas sebelum nilai median akan terletak i = panjang kelas/ interval n = jumlah data fkb = frekuensi kumulatif yang terletak di bawah skor yang mengandung median fd = frekuensi dari skor yang mengandung median 10. N = 5 + 20 + k + 26 + 7 n = 58 + k. Pelajaran, soal & rumus median data berkelompok kalau kebetulan kamu ingin belajar lebih tentang median data berkelompok, kamu bisa menyimak video pembahasannya yang ada di sini. Hitunglah median berat badan mahasiswa tersebut. Contoh soal median data tunggal dan kelompok. Rumus mean median dan modus data kelompok contoh soal banyaknya data yang diperoleh dari hasil sebuah penelitian sangat sering untuk disajikan dalam data kelompok. Setelahnya, kamu bisa mengerjakan kuis berupa latihan soal untuk mengasah kemampuan belajarmu.
Sepuluh siswa dijadikan sebagai sampel dan dihitung tinggi badannya. Tentukan median dari data berat badan siswa kelas xii ips di bawah ini! Rumus mean median dan modus data kelompok contoh soal banyaknya data yang diperoleh dari hasil sebuah penelitian sangat sering untuk disajikan dalam data kelompok. Median data kelompok bisa ditentukan apabila kita sudah mengetahui median dari data atau kelas tersebut. Banyaknya data yang didapat dari penelitian, kerap disajikan berbentuk data kelompok.
Rumus Mean Median Modus Serta Contoh Soal Dan Pembahasannya from i0.wp.com Sehingga median berat badan mahasiswa adalah 64,5 kg. Itu bertujuan agar data yang ditampilkan lebih sederhana serta mudah dibaca ataupun dianalisis. Contoh soal data tunggal ganjil. Materi mean, median, modus adalah salah satu bentuk ukuran pemusatan data yang sering digunakan dalam ilmu statistika. Rumus mean dan median data kelompok beserta contoh pembahasannya. Rumus mean median dan modus data kelompok contoh soal banyaknya data yang diperoleh dari hasil sebuah penelitian sangat sering untuk disajikan dalam data kelompok. Caranya adalah hitung frekuasi dari atas kebawah hingga jumlah mencapai 40 atau terlampaui. Baik itu untuk data tunggal maupun kelompok.
Setelahnya, kamu bisa mengerjakan kuis berupa latihan soal untuk mengasah kemampuan belajarmu.
Rumus mean median dan modus data kelompok contoh soal banyaknya data yang diperoleh dari hasil sebuah penelitian sangat sering untuk disajikan dalam data kelompok. Karena banyaknya data sejumlah 40, maka setengah dari data tersebut adalah 20 dan selanjutnya mencari kelas median. Tentukan median dari tabel dibawah ini. Contoh soal ukuran pemusatan data mean median modus berbagai ukuran. Jadi kalian harus mencari nilai tengah dari data kelompok. Hitunglah median berat badan mahasiswa tersebut. Contoh soal data tunggal ganjil. 04032021 pembahasan soal soal median data berkelompok sebagai berikut. Itu bertujuan agar data yang ditampilkan lebih sederhana serta mudah dibaca ataupun dianalisis. Mean, median, dan modus merupakan bahasan materi statistika dalam analisis ukuran pemusatan data. Mean, media sehingga, nilai modus data kelompok tidak mudah untuk langsung didapatkan dan untuk menemukan nilai modus dari data kelompok maka kita perlu. Contoh soal mean, median, modus data tunggal dan kelompok bahasan lengkap april 2, 2020 2 min read hai sobat statmat.net pada kali ini kita akan mempelajari tentang salah satu cabang ilmu matematika yang sering digunakan untuk menganalisis atau mengolah data hasil penelitian yakni statistika. Menghitung 1/2 n = 1/2.
Contoh soal median data kelompok. Mean, median, modus sudah dikenalkan sejak sekolah dasar (sd) dan dipelajari secara lebih rinci dan lengkap pada tahap sekolah menengah pertama (smp) dan sekolah. Pelajaran, soal & rumus median data berkelompok kalau kebetulan kamu ingin belajar lebih tentang median data berkelompok, kamu bisa menyimak video pembahasannya yang ada di sini. Sebelum membahas rumus mean data kelompok, rumus median data kelompok, dan rumus modus data kelompok, sebaiknya perhatikan rumus mean, median, modus untuk data tunggal. Contoh soal median data kelompok 1.
Mean Median Modus Pengertian Fungsi Rumus Dan Contoh from www.gurupendidikan.co.id Sehingga median berat badan mahasiswa adalah 64,5 kg. Hasil pengukuran tinggi badan sepuluh siswa tersebut dinyatakan dalam data sebagai berikut. Hitunglah median berat badan mahasiswa tersebut. Materi mean, median, modus adalah salah satu bentuk ukuran pemusatan data yang sering digunakan dalam ilmu statistika. Setelahnya, kamu bisa mengerjakan kuis berupa latihan soal untuk mengasah kemampuan belajarmu. Contoh soal median data tunggal dan kelompok. Contoh soal median data kelompok 1. 22122020 berikut contoh penyajian data dalam bentuk diagram batang yaitu.
Pembahasan contoh soal median data kelompok posted by edutafsi on 21 may 2015 418 pm dari.
Hitung mean dari data berikut ini. Median data kelompok bisa ditentukan apabila kita sudah mengetahui median dari data atau kelas tersebut. Setelahnya, kamu bisa mengerjakan kuis berupa latihan soal untuk mengasah kemampuan belajarmu. Rumus mean median dan modus data kelompok contoh soal banyaknya data yang diperoleh dari hasil sebuah penelitian sangat sering untuk disajikan dalam data kelompok. Modus dari data yang disajikan pada diagram batang di atas adalah. Ukuran statistik yang dapat menjadi pusat dari rangkaian data dan memberi gambaran singkat tentang data terdiri dari tiga bagian yaitu mean median dan modus. Rumus modus data kelompok dapat dilihat seperti persamaan di bawah. Pembahasan contoh soal median data kelompok posted by edutafsi on 21 may 2015 418 pm dari. Median data kelompok rumus ket : Karena banyaknya data sejumlah 40, maka setengah dari data tersebut adalah 20 dan selanjutnya mencari kelas median. Berbagai bentuk/tipe soal mean data kelompok dan pembahasannya. Contoh soal mean data kelompok contoh soal mean data kelompok.contoh soal mean data kelompok. Rumus median akan dibahas lebih jelas pada ulasan dibawah ini.
Berbagi
Posting Komentar
untuk "Contoh Soal Median Data Kelompok - Contoh Soal Median Modus Mean Dari Data Kelompok Brainly Co Id / 172, 167, 180, 171, 169, 160, 175, 173, 170, 165."
Posting Komentar untuk "Contoh Soal Median Data Kelompok - Contoh Soal Median Modus Mean Dari Data Kelompok Brainly Co Id / 172, 167, 180, 171, 169, 160, 175, 173, 170, 165."